Нашла другую
статью, которая опровергает (но и немножко подтверждает)
мой
предыдущий пост про равновесное тело:
Lindsay, T., Wijndaele, K., Westgate, K. et al. Joint associations
between objectively measured physical activity volume and intensity
with body fatness: the Fenland study. Int J Obes 46, 169–177
(2022).
https://doi.org/10.1038/s41366-021-00970-8
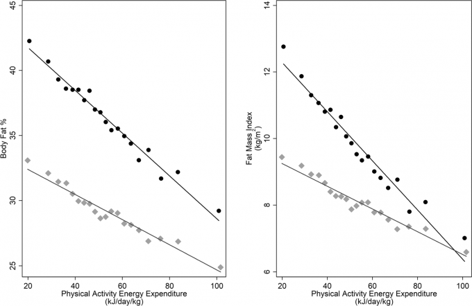
В большом исследовании об ожирении в Великобритании - Fenland
study - провели много разных экспериментов, среди
прочего посчитали корреляцию между физической
активностью и жировой массой. Тут уже людям на слово не
верили, а повесили на них датчики пульса и акселерометры (для
измерения движения). Тоже поразительно, что нагнали толпу, пусть и
не такую большую, как в другом исследовании, но приличную
- 6148 женщин и 5320 мужчин. Жир уже измеряли с помощью
сканера DXA, а не биоимпедансметрией, как в другом
исследовании. И таки-да, чем больше двигались, тем ниже процент
жира, причём линейно!

(женщины - это верхняя прямая, чёрные кружки)
Энергию движения измеряли сверх энергии покоя в килоджоулях на
килограм массы тела. Если перевести это в калории на мою массу, то
получится шкала физической активности от 310 ккал до 1553 ккал
в день. В это входит любая активность сверх неподвижности, в
том числе, бытовая и пр. Что интересно, группы
плюс-минус такие же, как в исследовании UK Biobank, -
средний возраст 50 лет, средний ИМТ 26, средний % жира
37.
В этом исследовании уже было указано среднее питание - если всё
сложить, то около 1923 ккал для женщин (17% белков, 32% жиров, 47%
углеводов, а оставшееся - алкоголь и витамин С). Если пересчитать
на мой вес, то в среднем женщины тратили 776 ккал на активность. В
статье основной обмен не считают, но теоретически на мой
вес по формуле Миффлина-Жеора - где-то 1300 ккал, то есть,
теоретическая полная активность составляла 2076 ккал для женщин,
выше, чем среднее питание. То есть, теоретически, в среднем женщины
в исследовании в лёгком дефиците калорий.
Что меня поразило, что в таком случае процент жира с активностью
снижается с 42% до всего лишь 30%. То есть, даже при
очень интенсивном движении в 1553 ккал в день (у меня, например,
ниже, я оцениваю по часам в 800-1000 ккал в день), всё равно
средний процент жира оставался на грани ожирения. Тут, конечно,
осталось очень много неизвестных и хотелось бы ещё разобрать на
более подробные детали каждую точку, жаль, что нельзя скачать
исходные данные и прошерстить. Тем более, что я потом нашла ещё
одну
статьюв подтверждение гипотезы, что спорт снижает аппетит и
массу тела в общем случае. Но я про неё потом отдельно напишу
подробно, чтобы не утопить вас в море информации, там очень много
интересных штук.
В статье ещё обсуждается дополнительный аспект - какая нагрузка
давала больший эффект - высокоинтенсивная или низкоинтенсивная. И
получаются антиитуитивные выводы, что если большая часть нагрузка
была за счёт шагов, то процент жира был выше, а если за счёт
высокоинтенсивных штук, то ниже, особенно это заметно было для
группы с низкой физической активностью. Они это объясняют
через nested exposure, но я не совсем поняла смысл.

Я потом напишу про спорт, голод и равновесие у спортсменов, там
очень интересно. Хотя создаётся ощущение, что есть надо всё же ещё
меньше. И оценка реального дефицита баланса прихода и
расхода остаётся довольно проблематичной.